行業資訊
道路設計之圓曲線超高設計
先來了解一下超高的概述,道路設計時為什么要設置超高呢?
超高是指車輛在彎道上行駛,為了抵抗離心力的作用,常需要設置超高。即由直線路段的雙向橫坡路面通過超高緩和段過度到全超高的單向橫坡路段。
	
在設計中如何知道超高被明確的設置呢?只要知道橫斷面在超高過渡段上任何一點與高程基準點的高差被明確的確定,這個時候超高設置就能明確的反映出來。
	
在了解超高之前,大家打清楚的了解道路橫斷面的幾個關鍵點位和軸線。首先是設計基準點,高程基準點通常采用路肩邊緣點、路中線點或中央分隔帶邊緣點。
	
另外一個就是軸線,為了保證超高過渡的平穩連續,需要在路面的三個軸線,也就是路中線、內存路面邊緣線或外側路面邊緣線將路面進行旋轉。從而達到雙向橫坡果斷到單向橫坡的目的。
	
最后一個為了讓超高計算更加清晰,還需要明確橫斷面上的幾個代表點,以道路左轉為例。有左側也就是內側路肩邊緣、內側路面邊緣、路中、和右側也就是外側路面邊緣、路肩邊緣這五個代表點。道路右轉同理。
	
好了,接下來開始說超高了。
超高的過渡方式分為有中央分隔帶和無中央分隔帶兩種。
1.1.1、當超高等于路拱橫坡時,只需要將外側行車道繞中線逐漸抬高旋轉至于內側橫坡相等。
	
1.1.2、當超高大于路拱橫坡時,可以采用三種方式過渡:①繞中軸旋轉;②繞內邊軸旋轉;③繞外邊軸旋轉。這里有適用于新手的一個小技巧,在超高過渡前1-2m,把路肩抬高至和路面同坡,然后再開始旋轉。
繞中軸旋轉:將外側車道繞路中線旋轉,等到與內側橫坡相同時,整個斷面一起再繞中線旋轉,直到超高值。這種方法可保持中線高程不變,多用于舊路改建。
繞內邊軸旋轉:將外側車道繞路中線旋轉,等到與內側橫坡相同時,整個斷面一起再繞內側到邊緣線進行旋轉,直到超高值。這種方法利于路面縱向排水,多用于新建道路。
繞外邊軸旋轉:先將外側車道繞外邊線旋轉,內側車道隨著中線的降低而降低,構成單向橫坡后,整個斷面一起再繞外側邊線旋轉,直到超高值。這個方法比較特殊,多用于改善路容。在填方較高路段有利于減少土石方數量和道路占地。
1.2.1、繞中央分隔帶中心:將外側行車道繞分隔帶邊線旋轉,待與內側行車道構成相同橫坡后,整個斷面一起繞中央分隔帶中線旋轉,直到超高值。
1.2.2、繞中央分隔帶外側邊緣:將兩側行車道分別繞中央分隔帶邊線旋轉,各自成為獨立的單向超高橫斷面,此時中央分隔帶不發生傾斜。
1.2.3、繞各自行車道中線:將兩側行車道分別繞中央分隔帶邊線旋轉,各自成為獨立的單向超高橫斷面。
我們在道路平縱橫設計后,會生成一張路基設計表。路基設計表中序列數有道路中線、內側路基邊緣、外側路基邊緣的高程值,這三個值是有在設置超高需求的彎道超高計算完成后才能得到的。
	
路基設計表
路基設計表:為便于施工,平曲線設計超高后,道路中線和內、外側(路肩)邊緣線與設計高程之差應列于路基設計表中。計算時需要按照超高過渡段、全超高段分別計算中線、內緣及外緣的高程。
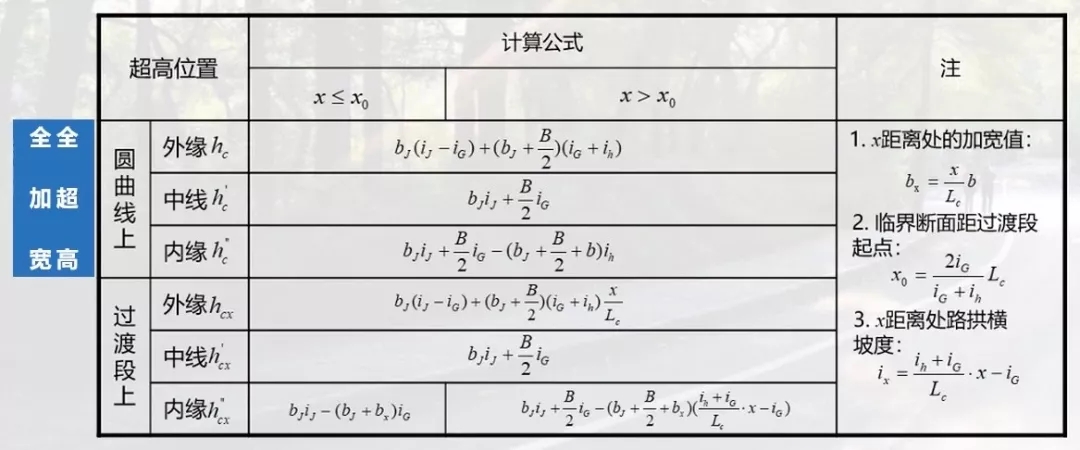
下面以無分隔帶道路繞中軸旋轉為例,設置超高路肩邊緣點為高程設計基準點。在進行計算之前,大家要明確一個道理,超高的本質就是高差計算。要明確橫斷面上特定寬度乘以坡度差的計算理念。
	
超高計算原理圖示
雖然超高計算圖示里有很多參數,但是大家需要了解其中三個重要的參數,分別是ix(x距離處路拱橫坡度)、bx(x距離處路基加寬值)和x0(與路拱同坡度的單向超高點到超高過渡段起點距離)。
	
超高計算表中,超高位置在圓曲線上時主要計算內容包括全加寬、全超高時,通常是從緩圓到圓緩段。其中超高計算原理圖示中hc表示路基外緣最大抬高值;hc‘表示路中線最大抬高值;hc‘’表示路基內緣最大降低值。
超高位置在過渡段上時,通常是直緩點到緩圓點。hcx表示x距離處,路基外緣抬高值;hcx’表示x距離處,路中線抬高值;hcx‘’表示x距離處,路基內緣降低值。
那么如果設計圖紙上有對應的超高點信息,我們該如何將超高數據輸入手簿呢?小編就以中海達為例。
	
首先打開中海達RTK手簿測量軟件Hi-Survey,【測量】-【道路設計】
	
接著選擇【橫斷面設計線】-【超高】
	
點擊【添加】-【左】根據圖紙選擇左或右,這里假設是右側
	
選擇對應超高作用的橫斷面板塊,此處以機動車道設超高為例輸入。
	
	簡化舉例,我們假設圖紙上超高變化點讀取如下:
	超高變化點1:里程 20 坡度 -1.5%
	超高變化點2:里程 30 坡度 2%
	超高變化點3:里程 40 坡度 2%
	超高變化點3:里程 50 坡度 -1.5%
	超高設在 左側機動車 板塊 錄入如下:
	
依次輸入四組超高點數據,在預覽界面可以對應查看
	
輸入40可以看見對應左側機動車道板塊坡度2%,朝上微微翹起(輸入對應里程,點擊檢查里程,可查看對應里程橫斷面)
	
至此,超高點數據輸入完成。
更多相關信息 還可關注中鐵城際公眾號矩陣 掃一掃下方二維碼即可關注

文章推薦
- “全域土地綜合整治”的5個建設內容和6個整治模式
- 上海:《關于深入開展全市域土地綜合整治 助推郊野空間提質增效的實施意見》解讀
- 陽泉市規劃和自然資源局召開全域土地綜合整治工作專題會
- 工業園區“定制化”供水:中鐵城際智慧水務系統如何匹配高純度用水需求?
- 農村供水“最后一公里”破局:中鐵城際供水智慧系統如何解決分散站點運維難題?
- AI+物聯網:中鐵城際智慧供水系統如何從“被動搶修”轉向“主動防御”?
- 市政道路設計流程與技巧:新手快速上手的6個核心步驟
- 市政道路設計關鍵要點:從線形規劃到管線綜合的避坑指南
- 2025市政道路設計最新規范與全流程解析
- 自然資源部:推進全域土地綜合整治 已經累計整治超1000萬畝

 
                                 
                                


